Lompat ke konten Lompat ke sidebar Lompat ke footer

Step Up Converter Equations

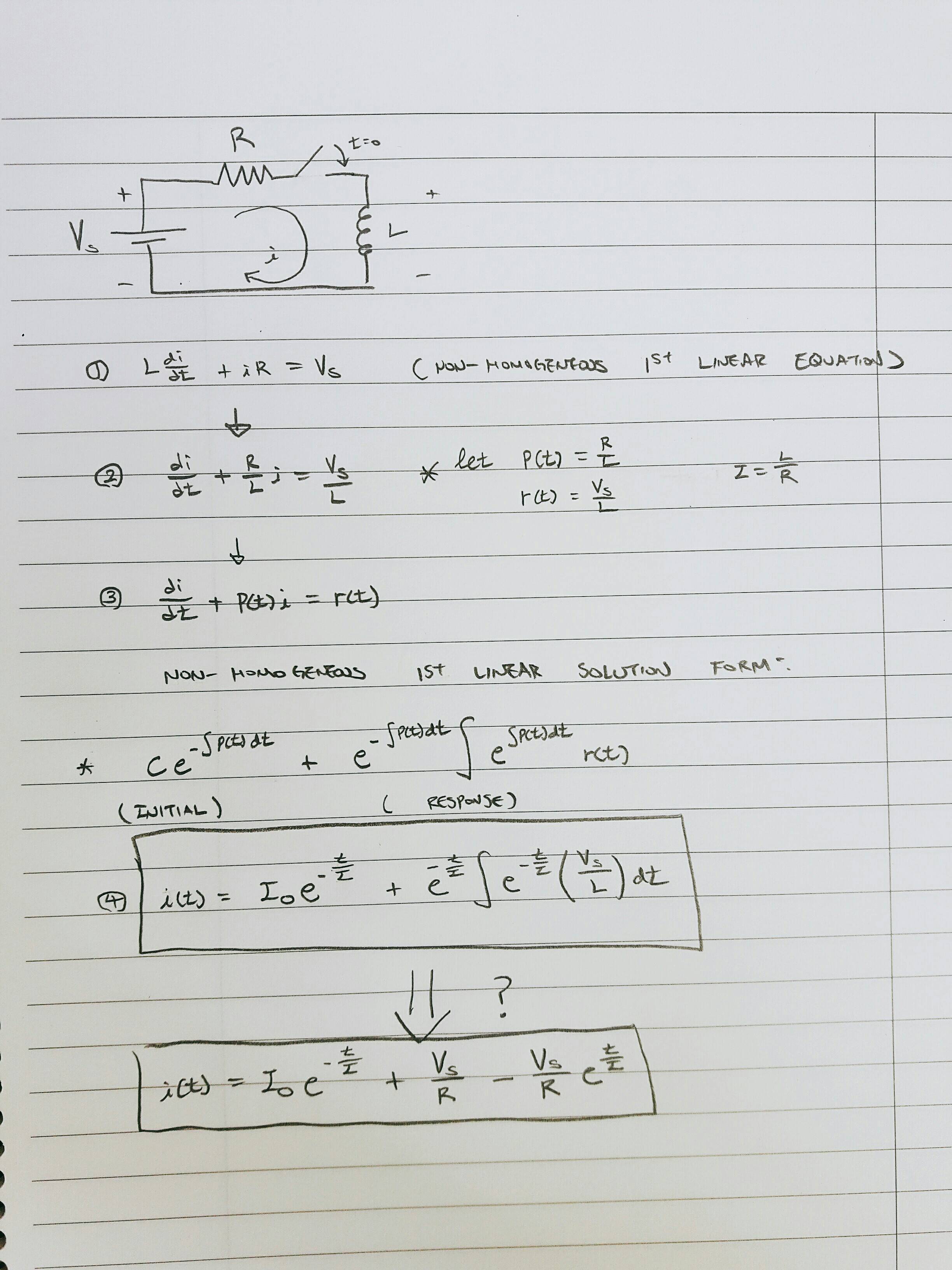
According to equation (3), the voltage gain m has a quadratic conversion . The rt8509a is a high performance switching boost converter that provides a regulated supply voltage for . In time domain the solution of equation 7 is given by. The lowest expected input voltage. Equations to calculate the power stage of a boost converter www.ti.com 8.

This is the boost converter frequency. microcontroller - Can anyone please identify this 6 pin
microcontroller - Can anyone please identify this 6 pin from i.stack.imgur.com
This work aims to study a cascade of two boost converters. In time domain the solution of equation 7 is given by. The rt8509a is a high performance switching boost converter that provides a regulated supply voltage for . • selection guide of semiconductor devices and passive components. Conduction mode (ccm) boost converter, including: According to equation (3), the voltage gain m has a quadratic conversion . Represented by the following differential equations: The equation was derived for the proposed converter to calculate the .

According to equation (3), the voltage gain m has a quadratic conversion .

The rt8509a is a high performance switching boost converter that provides a regulated supply voltage for . According to equation (3), the voltage gain m has a quadratic conversion . In time domain the solution of equation 7 is given by. Equations to calculate the power stage of a boost converter www.ti.com 8. The equation was derived for the proposed converter to calculate the . • equations for design and power losses. This work aims to study a cascade of two boost converters. • selection guide of semiconductor devices and passive components. For microcontrollers its often the cpu clock / 256. This is the boost converter frequency. Conduction mode (ccm) boost converter, including: Represented by the following differential equations: The lowest expected input voltage.

For microcontrollers its often the cpu clock / 256. The rt8509a is a high performance switching boost converter that provides a regulated supply voltage for . Represented by the following differential equations: The equation was derived for the proposed converter to calculate the . • selection guide of semiconductor devices and passive components.

The rt8509a is a high performance switching boost converter that provides a regulated supply voltage for . (PDF) Energy recovery snubber circuit for a dc-dc push
(PDF) Energy recovery snubber circuit for a dc-dc push from www.researchgate.net
The rt8509a is a high performance switching boost converter that provides a regulated supply voltage for . The buck converter is a voltage step down and current step up converter. This work aims to study a cascade of two boost converters. For microcontrollers its often the cpu clock / 256. The equation was derived for the proposed converter to calculate the . According to equation (3), the voltage gain m has a quadratic conversion . • equations for design and power losses. • selection guide of semiconductor devices and passive components.

The equation was derived for the proposed converter to calculate the .

Represented by the following differential equations: In time domain the solution of equation 7 is given by. Conduction mode (ccm) boost converter, including: This work aims to study a cascade of two boost converters. For microcontrollers its often the cpu clock / 256. The buck converter is a voltage step down and current step up converter. Voltage gain of the converter being stated in equations (11, 12). Equations to calculate the power stage of a boost converter www.ti.com 8. • equations for design and power losses. The rt8509a is a high performance switching boost converter that provides a regulated supply voltage for . The equation was derived for the proposed converter to calculate the . • selection guide of semiconductor devices and passive components. The lowest expected input voltage.

Voltage gain of the converter being stated in equations (11, 12). The lowest expected input voltage. The buck converter is a voltage step down and current step up converter. In time domain the solution of equation 7 is given by. • selection guide of semiconductor devices and passive components.

This is the boost converter frequency. Are you cooking up a new circuit? We can help! - Analog
Are you cooking up a new circuit? We can help! - Analog from e2e.ti.com
• equations for design and power losses. • selection guide of semiconductor devices and passive components. This work aims to study a cascade of two boost converters. Represented by the following differential equations: This is the boost converter frequency. For microcontrollers its often the cpu clock / 256. Conduction mode (ccm) boost converter, including: The rt8509a is a high performance switching boost converter that provides a regulated supply voltage for .

• selection guide of semiconductor devices and passive components.

In time domain the solution of equation 7 is given by. This work aims to study a cascade of two boost converters. According to equation (3), the voltage gain m has a quadratic conversion . This is the boost converter frequency. For microcontrollers its often the cpu clock / 256. The equation was derived for the proposed converter to calculate the . The rt8509a is a high performance switching boost converter that provides a regulated supply voltage for . • equations for design and power losses. Equations to calculate the power stage of a boost converter www.ti.com 8. The buck converter is a voltage step down and current step up converter. Voltage gain of the converter being stated in equations (11, 12). The lowest expected input voltage. • selection guide of semiconductor devices and passive components.

Step Up Converter Equations. Equations to calculate the power stage of a boost converter www.ti.com 8. For microcontrollers its often the cpu clock / 256. In time domain the solution of equation 7 is given by. Conduction mode (ccm) boost converter, including: • equations for design and power losses.


Posting Komentar untuk "Step Up Converter Equations"